Jose M. Cárdenas Contreras
Jose M. Cárdenas Contreras

Conceptos matemáticos de la TFC

 

Descartes pensaba que llegaría el día en que el amor se podría expresar mediante una serie de ecuaciones matemáticas que explicarían las reacciones físico-químicas que producen en nosotros ese estado psíquico (sentimientos materiales).

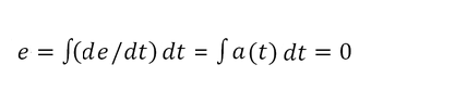
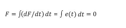
Partimos de que la Felicidad es la vivencia de un Estado de Ánimo (ya sea positivo en forma de alegría o negativo en forma de tristeza) durante un intervalo de tiempo. A la felicidad negativa la llamamos Infelicidad.

Se tienen que cumplir tres puntos importantes:

 

1) Felicidad = estado anímico · tiempo.

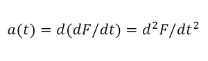
2) estado anímico es la variación de la felicidad respecto al tiempo y por tanto... La derivada de la felicidad respecto al tiempo será el estado anímico.

3) felicidad por consiguiente será la integral del estado anímico y al final de la vida dará como resultado cero.

También podríamos definir la variación (derivada) del estado anímico respecto al tiempo como una especie de “aceleración de la felicidad”.

Si representamos en una gráfica el Estado Anímico frente al tiempo se tiene que cumplir que la suma de las áreas bajo las curvas de la zona positiva sea igual a la suma de las áreas sobre las curvas de la zona negativa, esto es precisamente porque dichas áreas representan la felicidad que se contrarresta con la propia infelicidad del individuo y por eso al final todo queda cero.

También podríamos hacer una gráfica en la que representáramos la Felicidad frente al tiempo. 

+ Web

Desde mis otras páginas web podréis conocerme un poco más y descubrir mis aficiones...

 

http://www.supercardenas.

wix.com/

 

Versión para imprimir | Mapa del sitio
© José Manuel Cárdenas Contreras